Серия микрозондов TeraSpike представляет собой новое поколение высокопроизводительных микрозондов для фотокондуктивного обнаружения электрических полей в терагерцовом диапазоне частот. Поверхностные электрические ТГц поля теперь можно измерять с беспрецедентным качеством сигнала и низкой инвазивностью. Микрозонды легко встраиваются в системы с длиной волны оптического возбуждения ниже 860 нм и являются наиболее экономичным решением для превращения существующей системы накачки/зонда во временной области в мощную систему ближнего поля ТГц для получения изображений с высоким разрешением.
Особенности:
- Самый маленький активный ТГц наконечник на рынке;
- Запатентованная конструкция;
- Пространственное разрешение до 3 мкм;
- Диапазон частот 0-4 ТГц;
- Адаптируется ко всем лазерным терагерцовым системам с λ < 860 нм;
- Крепление, совместимое со стандартными оптомеханическими компонентами;
- Типичная мощность оптического возбуждения 1-5 мВт (1-5 мкДж/см²);
- Встроенная схема защиты от перенапряжения.
Электрическое подключение осуществляется через компактный коаксиальный штекер SMP. Мы рекомендуем использовать малошумящий усилитель тока с усилением 107–108 В/А (например, DLPCA200) и высококачественные соединительные кабели (например, наш кабель TS) для оптимальной работы.
TeraSpike TD-800-X
Конструкция микрозонда:
Технические характеристики:
|
Модель |
HR |
HRS |
|
Макс. пространственное разрешение |
3 мкм |
20 мкм |
|
Размер зазора фотопереключателя |
1.5 мкм |
2 мкм |
|
Темновой ток при смещении 1 В |
< 0.5 нА |
< 0.5 нА |
|
Фототок при смещении 1 В |
>0.2 мкА |
> 0.2 мкА |
|
Длина волны возбуждения |
700 - 860 нм |
700 - 860 нм |
|
Средняя мощность возбуждения |
0.1 - 4 мВт |
0.1 - 4 мВт |
|
Тип соединения |
SMP |
SMP |
Микрозонды серии X чувствительны к компонентам терагерцового поля, ориентированным в поперечном направлении к оси наконечника зонда, как определено направлением оси X на верхнем рисунке. Вариант HR не включает резонансный антенный элемент и обеспечивает несколько большую полосу пропускания. Вариант HRS включает антенный элемент для повышения чувствительности на частоте около 1 ТГц.
Каждый зонд проходит индивидуальное тестирование и поставляется с руководством и сертификатом испытаний.
TeraSpike TD-1550-X
Конструкция микрозонда:
Микрозонды новой серии 1550-X являются первыми датчиками, пробы которых можно напрямую брать с помощью телекоммуникационных лазерных импульсов (1500 - 1600 нм). Они чувствительны к компонентам электрического векторного поля, ориентированным в поперечном направлении к оси наконечника зонда, как определено направлением оси X на верхнем рисунке. Модель TD-1550-X-HR-WT предлагает хорошее пространственное разрешение и четкую спектральную характеристику благодаря запатентованной структуре внутреннего поглотителя («ловушки волн»). Модель TD-1550-X-HR-WT-XR обеспечивает повышенную механическую прочность при незначительной потере пространственного разрешения и чувствительности. Он предназначен для более грубых применений, т.е. где расстояние выборки труднее контролировать.
Технические характеристики:
|
Модель |
-HR-WT |
-HR-WT-XR |
|
Макс. пространственное разрешение |
40 мкм (20 мкм (#)) |
80 мкм |
|
Размер зазора фотопереключателя |
1.5 мкм |
1.5 мкм |
|
Темновой ток при смещении 1 В |
< 4.5 мкА |
< 4.5 мкА |
|
Фототок при смещении 1 В |
> 12 мкА (*) |
> 12 мкА (*) |
|
Длина волны возбуждения |
1500 - 1600 нм |
|
|
Средняя мощность возбуждения |
1.5 - 3.5 мВт |
|
|
Тип соединения |
SMP |
|
Примечания:
(*) Для диаметра пятна около 20 мкм, напряжение смещения 1 В, средняя мощность оптического возбуждения 3 мВт.
(#) Для возбуждения с помощью переднего выключателя вместо главного выключателя. Режим возбуждения с передним переключателем показывает пониженное отношение сигнал/шум.
Каждый зонд проходит индивидуальное тестирование и поставляется с руководством и сертификатом испытаний.
TeraSpike TD-800-Z
Конструкция микрозонда:
Технические характеристики:
|
Модель |
N |
A-500G |
|
Макс. пространственное разрешение |
8 мкм |
8 мкм |
|
Размер зазора фотопереключателя |
2 мкм |
5 мкм |
|
Темновой ток при смещении 1 В |
< 0.4 нА |
< 0.4 нА |
|
Фототок при смещении 1 В |
>0.1 мкА |
> 0.2 мкА |
|
Длина волны возбуждения |
700 .. 860 нм |
700 .. 860 нм |
|
Средняя мощность возбуждения |
0.1 .. 4 мВт |
0.1 .. 4 мВт |
|
Тип соединения |
SMP |
SMP |
Микрозонды серии Z чувствительны к компонентам терагерцового поля, ориентированным в продольном направлении к оси наконечника зонда, как определено направлением оси z на верхнем рисунке. Вариант N не включает резонансный антенный элемент и обеспечивает несколько большую полосу пропускания. Вариант A-500G включает в себя антенный элемент для повышения чувствительности около 0.5 ТГц.
Каждый зонд проходит индивидуальное тестирование и поставляется с руководством и сертификатом испытаний.
TeraSpike TD-1550-Y-BF
Конструкция микрозонда:
TeraSpike TD-1550-Y-BF представляет собой микрозондовый излучатель, основанный на запатентованной конструкции (DE 10 2013 020 216.7) для поверхностного возбуждения терагерцовых импульсов без смещения на плоских волноводах, металлических поверхностях или метаматериалах. Оптически генерируемое ТГц поле поляризовано в направлении Y.
Применения:
Конфигурация: генерация терагерцового импульса на тонкопленочной микрополосковой линии с использованием микрозонда TeraSpike с эмиттером без смещения. Для бесконтактного обнаружения терагерцового поля на кристалле можно использовать второй датчик TeraSpike из серии TD-800-X или Z.
Схема ТГц излучения: генерация ТГц импульсов основана на оптическом возбуждении поверхности микроконсоли InGaAs. Размещение возбужденного наконечника рядом с проводящей структурой или поверхностью обеспечивает эффективную емкостную связь и передачу импульса.
Технические характеристики:
|
Модель |
TD-1550-Y-BF |
|
Длина волны возбуждения |
700 - 1600 нм |
|
Средняя мощность возбуждения |
0.1 - 4 мВт |
|
Ширина полосы излучения (для импульсного возбуждения 90 фс) |
> 2.5 ТГц |
Каждый зонд проходит индивидуальное тестирование и поставляется с руководством и сертификатом испытаний.
TeraSpike версия XR
Стандартная конструкция датчика TeraSpike оптимизирована для обеспечения высочайшего пространственного разрешения, минимальной инвазивности поля и высочайшей чувствительности. Это достигается за счет отдельно стоящей консольной микроструктуры на основе полупроводников, содержащей элементы датчика активного поля. Механическая прочность этой стандартной конструкции соответствует требованиям долгосрочного применения в хорошо контролируемых и автоматизированных системах, допускающих точечный контакт с образцом.
Для применения в более суровых условиях или там, где трудно контролировать расстояние до образца, новая конструкция XR является отличным выбором, поскольку она значительно повышает механическую прочность в сочетании с незначительным снижением пространственного разрешения и чувствительности.
Сравнение конструкций поперечного сечения:
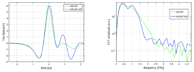
Отклик во временной и частотной областях:
TeraSpike версия WT
Зонды ближнего поля TeraSpike используются в различных условиях возбуждения. Некоторые конфигурации могут генерировать ТГц моды, способные распространяться вдоль внутренних электродов наконечника зонда. До сих пор эти моды наблюдались с точки зрения сигналов отражения в зарегистрированных переходных процессах во временной области.
Компания Protemics разработала новую запатентованную конструкцию под названием «волновая ловушка», которая эффективно замедляет и поглощает такую передачу терагерцового сигнала внутри зонда.
Сравнение зондов:
Конструкции наконечников:
Оплата продукции производится по безналичному расчету на основании счета либо договора поставки. Компания АЗИМУТ ФОТОНИКС принимает участие в конкурсных торгах (электронных аукционах) на выполнение заказов от бюджетных организаций. Для бюджетных организаций предусмотрена работа с частичной предоплатой в рамках договоров по ФЗ.
Доставка оборудования и компонентов во все регионы России осуществляется транспортными компаниями (Major Express, Гарантпост, СДЭК) с обязательным соблюдением требований к транспортировке и хранению, также возможен самовывоз из нашего офиса в Москве. Условия отправки груза в страны СНГ и ЕАЭС необходимо уточнять отдельно у специалистов нашей компании.
