Расширители лазерного пучка
Расширители лазерного пучка увеличивают диаметр коллимированного входного пучка до большего коллимированного выходного пучка для таких приложений, как лазерное сканирование, интерферометрия и дистанционное зондирование. Современные расширители лазерного пучка представляют собой афокальные системы, разработанные на основе хорошо зарекомендовавших себя принципов работы оптических телескопов. В таких системах лучи в пространстве предметов входят параллельно оптической оси внутренней оптики и выходят параллельно ей. Это означает, что вся система не имеет фокусного расстояния.
Принцип работы телескопов
Оптические телескопы, традиционно используемые для наблюдения за удаленными объектами, такими как небесные тела в космическом пространстве, делятся на два типа: преломляющие и отражающие. В преломляющих телескопах используются линзы для преломления или искривления света, в то время как в отражающих телескопах используются зеркала для отражения света.
Есть две категории отражающих телескопов: Кеплера и Галилея. Телескоп Кеплера состоит из линз с положительными фокусными расстояниями, разделенными суммой их фокусных расстояний. Линза, ближайшая к объекту или исходному изображению, называется линзой объектива, а линза, ближайшая к глазу или создаваемому изображению, называется линзой изображения.
Телескоп Кеплера
Телескоп Галилея состоит из положительной и отрицательной линзы, которые также разделены суммой фокусных расстояний. Однако, поскольку одна из линз отрицательна, расстояние между двумя линзами намного меньше, чем в системе Кеплера. В то время как использование эффективного фокусного расстояния двух линз обеспечит хорошее приближение к общей длине, использование заднего фокусного расстояния обеспечит наиболее точную длину.
Телескоп Галилея
Увеличение или обратное увеличение телескопа основано на фокусных расстояниях объектива и линзы изображения:
Если увеличения больше 1, телескоп увеличивает. Когда увеличение меньше 1, телескоп уменьшает.
Принцип работы расширителя пучка
В расширителе лазерного пучка линзы объектива и изображения меняются местами. Расширители пучка на основе трубы Кеплера состоят из двух линз с положительными фокусными расстояниями, разделенными суммой их фокусных расстояний. Они обеспечивают высокий коэффициент расширения и обеспечивают пространственную фильтрацию, поскольку коллимированный входной пучок фокусируется в точку между объективом и линзами изображения, создавая точку внутри системы, где концентрируется энергия лазера. Однако это нагревает воздух между линзами, отклоняя световые лучи от их оптического пути и потенциально приводя к ошибкам волнового фронта, особенно в мощных лазерных приложениях.
Расширители пучка Кеплера имеют внутреннюю фокусировку, которая вредна для приложений с высокой мощностью, но полезна для пространственной фильтрации в приложениях с меньшей мощностью
Расширители пучка на основе трубы Галилея, в которых линза объектива с отрицательным фокусным расстоянием и линза изображения с положительным фокусным расстоянием разделены суммой их фокусных расстояний, представляют собой простые и недорогие конструкции, которые также позволяют избежать внутренней фокусировки расширителей пучка Кеплера. Отсутствие внутренней фокусировки делает расширители пучка Галилея более подходящими для применения в мощных лазерах, чем конструкции Кеплера.
Расширители пучка Галилея не имеют внутренней фокусировки и идеально подходят для приложений с мощными лазерами
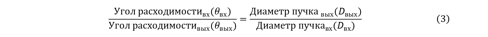
При использовании кеплеровских или галилеевых схем в расширителях лазерного пучка важно иметь возможность рассчитать расходимость выходного пучка. Это определяет отклонение от идеально коллимированного источника. Расходимость пучка зависит от диаметров входного и выходного лазерных пучков.
Увеличение теперь может быть выражено в углах расходимости пучка или диаметрах пучка.
При интерпретации уравнений 4 и 5 можно увидеть, что при увеличении диаметра выходного пучка (Dвых) расходимость выходного пучка (θвых) уменьшается, и наоборот. Поэтому при использовании расширителя для уменьшения пучка его диаметр уменьшится, но увеличится расходимость пука лазера. Плата за малый пучок – большой угол расходимости.
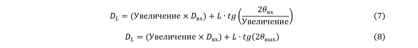
Кроме того, важно уметь рассчитать диаметр выходного пучка на конкретном рабочем расстоянии (L). Диаметр выходного пучка зависит от диаметра входного пучка и расходимости пучка после определенного рабочего расстояния (L).
Диаметр и расходимость входного пучка лазера можно использовать для расчета диаметра выходного пучка на определенном рабочем расстоянии
Расходимость лазерного пучка определяется как половинный угол, поэтому во втором члене уравнения 6 требуется коэффициент 2.
Расширитель пучка увеличит входной пучок и уменьшит входное расхождение за счет увеличения мощности. Замена уравнений 4 и 5 уравнением 6 приводит к следующему:
Применение 1: Снижение плотности мощности
Расширители пучка квадратично увеличивают площадь пучка по отношению к их увеличению, не оказывая существенного влияния на общую энергию, содержащуюся в пучке. Это приводит к снижению плотности мощности и интенсивности пучка, что увеличивает срок службы компонентов лазера, снижает вероятность повреждения, вызванного лазером, и позволяет использовать более экономичные покрытия и оптику.
Применение 2: Уменьшение диаметра пучка на расстоянии
Хотя это может показаться нелогичным, увеличение диаметра лазера с помощью расширителя пучка может привести к уменьшению диаметра пучка вдали от апертуры лазера. Расширитель пучка будет увеличивать входной лазерный пучок на определенную величину, уменьшая расходимость на ту же величину, что приводит к меньшему коллимированному пучку на большом расстоянии. Расширители лазерного пучка также можно использовать в обратном порядке, чтобы уменьшить диаметр пучка, а не расширить его. Это инвертирует увеличительную силу, но увеличивает расхождение.
Пример
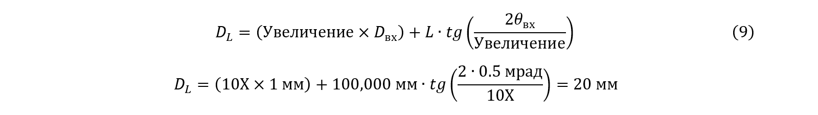
Численный пример для изучения ранее упомянутых уравнений расширителя пучка:
Начальные параметры
Увеличение расширителя пучка = 10X
Диаметр входного пучка = 1 мм
Расходимость входного пучка = 0.5 мрад
Рабочее расстояние = L = 100 м
Расчетный параметр
Диаметр пучка на расстоянии L:
Сравните это с диаметром пучка без использования расширителя пучка, используя уравнение 6.
Использование 10-кратного расширителя пучка уменьшило диаметр выходного пучка на расстоянии 100 м более чем в 5 раз по сравнению с тем же лазером без расширителя пучка.
Применение 3: Уменьшение размера фокусируемого пятна
Размер пятна обычно определяется как радиальное расстояние от центральной точки максимальной интенсивности до точки, где интенсивность падает до 1/e2 от начального значения. Размер сфокусированного пятна идеальной линзы можно рассчитать, используя длину волны (λ), фокусное расстояние линзы (f), диаметр входного пучка (Dвх), показатель преломления линзы (n) и значение M2, которое представляет собой степень отклонения от идеального гауссова пучка.
Размер пятна обычно измеряется в точке, где интенсивность I(r) падает до 1/e2 от начального значения Iвых
Размер пятна обычно определяется комбинацией дифракции и аберраций, показанных красным и синим соответственно на рисунке ниже. Обычно при фокусировке лазерных лучей сферическая аберрация считается единственным и доминирующим типом аберрации, поэтому уравнение 11 учитывает только сферическую аберрацию. Что касается дифракции, чем короче фокусное расстояние, тем меньше размер пятна. Что еще более важно, чем больше диаметр входного пучка, тем меньше размер пятна.
Путем расширения пучка внутри системы входной диаметр увеличивается, уменьшая расходимость. Когда пучок сфокусирован в маленькое пятно, пятно в несколько раз меньше, чем у нерасширенного пучка для идеального пятна с ограничением дифракции. Однако есть компромисс со сферической аберрацией, поскольку она увеличивается вместе с диаметром входного пучка.
При малых диаметрах входного пучка размер сфокусированного пятна ограничен дифракцией. По мере увеличения диаметра входного пучка сферическая аберрация начинает доминировать в размере пятна.
Применение 4: Компенсация изменчивости входного лазерного пучка
Большинство коммерческих лазеров указывают диаметр выходного пучка лазера на апертуре с допуском, который часто составляет порядка 10% или более. Для многих лазерных применений требуется определенный диаметр пучка на конце системы. В систему можно вставить регулируемый расширитель пучка, чтобы компенсировать различия между отдельными лазерными модулями, гарантируя, что окончательный диаметр пучка будет одинаковым для всех систем.
Критерии выбора расширителя пучка
При выборе расширителя пучка для конкретного применения необходимо определить критерии для достижения нужной производительности.
Раздвижные и вращающиеся механизмы фокусировки:
Механизмы, используемые для фокусировки расширителя пучка или изменения увеличения переменного расширителя пучка, обычно делятся на два разных типа: скользящие и вращающиеся. Вращающиеся фокусирующие механизмы, такие как фокусирующие трубки с резьбой, вращают оптические элементы во время перемещения. Они имеют более низкую стоимость, чем скользящие механизмы фокусировки, из-за их упрощенной механики, но они создают потенциал для отклонения пучка из-за вращения элемента.
Преувеличенное изображение отклонения пучка, которое может быть вызвано вращающимися механизмами фокусировки.
Скользящие механизмы фокусировки, такие как геликоидные цилиндры, перемещают внутреннюю оптику, не вращая ее, что сводит к минимуму отклонение пучка. Однако для этого требуется более сложная механика, чем у механизмов с вращающимся фокусом, что увеличивает стоимость системы. Плохо спроектированная выдвижная оптика также может иметь слишком большую свободу движений в механике. Хотя ошибка наведения в этих плохо спроектированных конструкциях не будет вращаться при регулировке, она будет больше, чем для вращающейся оптики или правильно спроектированной скользящей оптики.
Внутренняя фокусировка:
Расширители пучка Кеплера содержат внутренний фокус, который может стать проблемой в системах большой мощности. Интенсивное сфокусированное пятно может ионизировать воздух или привести к ошибкам волнового фронта из-за теплового отклонения световых лучей. Из-за этого большинство расширителей пучка являются галилеевыми, чтобы избежать осложнений, вызванных внутренней фокусировкой. Однако для некоторых приложений требуется пространственная фильтрация, которая возможна только в кеплеровских схемах из-за возможности внутренней фокусировки.
Отражающий расширитель против пропускающего:
В отражающих расширителях пучка используются изогнутые зеркала вместо пропускающих линз. Отражающие расширители пучка гораздо менее распространены, чем пропускающие, но имеют ряд преимуществ, которые делают их правильным выбором для определенных приложений. Отражающие расширители пучка не подвержены хроматической аберрации, тогда как увеличение и коллимация выходного пучка пропускающих расширителей пучка зависят от длины волны. Хотя это не относится ко многим лазерным приложениям, поскольку лазеры, как правило, излучают на одной длине волны, это может иметь решающее значение в широкополосных приложениях. Ахроматические характеристики отражательных расширителей пучка требуются для многолазерных систем, некоторых перестраиваемых лазеров и лазеров со сверхкороткими импульсами. Импульсные лазеры по своей природе охватывают более широкий диапазон длин волн, чем другие лазеры, из-за их чрезвычайно короткой длительности импульса. Квантовые каскадные лазеры также выигрывают от отражающих расширителей пучка, поскольку на их рабочих длинах волн возможности пропускания могут отсутствовать.
В отличие от пропускающих расширителей пучка изогнутые зеркала этого отражающего расширителя пучка Canopus расширяют падающий лазерный пучок. Отверстия на боковой стороне расширителя пучка являются встроенными элементами крепления.
Расширители пучка Edmund Optics
Расширители пучка TECHSPEC® Scorpii Nd:YAG доступны для применений, где стоимость является определяющим фактором. Расширители пучка Scorpii Nd:YAG с двухэлементной галилеевой конструкцией с ограниченными дифракционными характеристиками на длинах волн YAG предлагают различные диапазоны увеличения от 2X до 10X, что идеально подходит для прототипирования и OEM-интеграции.
Расширители пучка TECHSPEC® Vega обеспечивают отличное соотношение цены и качества с ошибкой волнового фронта λ/10 на расчетной длине волны для апертур до 4 мм. Обладая V-покрытием лазерной линии для гармоник Nd:YAG до 266 нм, эти галилеевы конструкции используют элементы из плавленого кварца и обеспечивают возможность регулировки расходимости.
Примеры применения конструкции телескопа Галилея к расширителям лазерного пучка можно найти в нескольких продуктах Edmund Optics, каждый из которых может использоваться для коллимации и фокусировки лазерных лучей. Расширители пучка TECHSPEC® Arcturus HeNe представляют собой простую конструкцию с двумя линзами, состоящую из отрицательной линзы и ахроматической линзы.
Широкополосные расширители пучка TECHSPEC® Vega имеют широкополосную конструкцию с регулируемой расходимостью и идеально подходят для требовательных перестраиваемых лазерных источников. Они оптимизированы для работы в широком диапазоне длин волн, имеют ошибку передаваемого волнового фронта λ/10 и не имеют фантомных изображений с внутренней фокусировкой, что делает их совместимыми с мощными лазерными источниками.
Широкополосные расширители пучка TECHSPEC® Draconis усовершенствованны по сравнению с простой двухлинзовой конструкцией. Запатентованная многоэлементная конструкция объектива, которая расширяет возможности создания коллимированного или сфокусированного лазерного пучка на большом рабочем расстоянии.
Отражающие расширители пучка TECHSPEC® Canopus легко монтируются благодаря множеству встроенных функций выравнивания. Они обладают широкополосными характеристиками с минимальным искажением волнового фронта от УФ до инфракрасного диапазона от 250 нм до 10 мкм. Их монолитная структура обеспечивает стабильность работы независимо от изменений температуры.
Регулируемые расширители пучка TECHSPEC® могут непрерывно регулировать увеличение и расхождение при сохранении постоянной общей длины корпуса. Они идеально подходят для прототипирования, НИОКР и других приложений, требующих регулировки увеличения.

