Дисперсия сверхкоротких импульсов
Хотя эффект дисперсии минимален для многих типов лазерных систем, он имеет особенно большое влияние в лазерных приложениях со сверхкороткими импульсами. Импульсные лазеры характеризуются короткими импульсами порядка пикосекунд, фемтосекунд или аттосекунд. Из-за принципа неопределенности Гейзенберга сверхкороткие импульсы с ограничением преобразования, достигающие нижнего предела своей длительности, имеют широкую полосу длин волн. Поскольку эти широкополосные импульсы передаются через оптические среды, хроматическая дисперсия удлиняет длительность импульса, что вредно для сверхбыстрых приложений.
По мере уменьшения длительности импульса импульсного лазера ширина полосы длин волн увеличивается
Обзор хроматической дисперсии
Способ прохождения лазерного импульса через оптическую среду описывается групповой скоростью (Vg) – изменением фазовой скорости света в среде относительно его волнового числа (k):
где ω – угловая частота света, c – скорость света в вакууме, n – показатель преломления среды. Волновое число (k) равно 2π/λ – это понятие иногда называют пространственной частотой волны.
Групповая скорость определяет движение огибающей или волнового пакета, выделенного синим цветом, а фазовая скорость определяет более высокочастотное движение каждой отдельной точки самой волны, выделенной красным
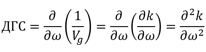
Когда свет с несколькими длинами волн проходит через материал, большая длина волны (низкие частоты) обычно распространяется немного быстрее, чем более короткие волны из-за частотной (или волновой) зависимости групповой скорости. Это вызывает спектральные вариации фазово-волнового фронта так же, как свет, проходящий через призму, разбивается на составляющие его цвета из-за спектральной дисперсии материала. Поскольку групповая скорость задается как первая производная фазовой скорости по частоте, дисперсия групповой скорости (ДГС) является производной обратной групповой скорости по частоте:
Обратная групповая скорость известна как дисперсия первого порядка, а ДГС известна как дисперсия второго порядка. Подобно тому, как групповая скорость аналогична спектральной дисперсии в том смысле, что обе они соответствуют первой производной показателя преломления по длине волны или частоте, ДГС используется аналогично частной дисперсии, поскольку они обе являются вторыми производными по длине волны или частоте. Разработка оптики для низкой ДГС аналогична разработке для хороших хроматических характеристик, за исключением того, что основное внимание уделяется групповой скорости и ДГС, а не связанным с ними числу Аббе и частной дисперсии.
ДГС не зависит от длины данной оптической среды. Дисперсия групповой задержки (ДГЗ) учитывает длину среды и может быть найдена путем умножения ДГС на длину.
ДГС сильно зависит от длины волны и имеет типичные единицы измерения фс2/мм. Например, ДГС плавленого кварца составляет +57 фс2/мм на 589.3 нм и -26 фс2/мм на 1500 нм. Где-то между этими длинами волн (около 1.3 мкм) находится длина волны с нулевой дисперсией, при которой ДГС равна нулю. На рисунке ниже показано значительное изменение ДГС плавленого кварца в зависимости от длины волны. Для оптоволоконной связи ДГС обычно определяется как производная по длине волны, а не по частоте, и обычно указывается в единицах пс/(нм км).
ДГС в зависимости от длины волны для плавленого кварца с длиной волны нулевой дисперсии около 1.3 мкм
Лазеры со сверхкороткими импульсами
Лазеры со сверхкороткими импульсами очень выгодны из-за их короткой длительности импульса и высокой пиковой мощности для различных приложений, включая точные биомедицинские приложения, обработку материалов, микрообработку, нелинейную микроскопию и визуализацию, а также связь. Такие лазеры обеспечивают лучшие допуски на размеры при обработке материалов и микрообработке, устраняя типичные этапы последующей обработки и сводя к минимуму повреждение окружающих областей. Аналогичным образом, лазеры обеспечивают меньшую травматичность в лазерной хирургии и других медицинских приложениях, а также уменьшают потребность в анестетиках и стерилизации. Сверхкороткие лазерные импульсы создаются, когда волны излучения, содержащие большое количество мод или целое число, кратное половине длины волны света, излучаются когерентно посредством их синфазного наложения. Это также известно, как синхронизация мод.
Интерференция когерентных волн со многими модами во время синхронизации мод генерирует импульсы с сверхкороткой временной шириной, но широкой полосой длин волн
Зависимость ДГС от длины волны существенно влияет на сверхкороткие импульсы из-за их широкой полосы, увеличивая длительность сверхкоротких импульсов при их прохождении через оптическую систему. Величина расширения импульса от длительности входного импульса (τвх) до длительности выходного импульса (τвых) связана с ДГЗ:
Дисперсия приводит к уширению сверхкоротких лазерных импульсов. AOM означает акустооптический модулятор, который является компонентом, позволяющим лазерам излучать импульсный выходной сигнал.
Изображение временного расширения или увеличения длительности импульса фемтосекундного сверхкороткого импульса после прохождения через различные оптические среды
Большинство оптических сред имеют положительную дисперсию, поэтому более длинные длины волн, проходящие через них, будут иметь более высокую фазовую скорость, чем более короткие, что увеличивает длительность импульса. Это называется импульсом с линейной частотной модуляцией. Лазеры со сверхкороткими импульсами подвержены дисперсии значительно больше, чем другие типы лазеров, из-за их широкой полосы длин волн.
Интерферометрия белого света является наиболее распространенной в метрологии, используемой для измерения групповой задержки и ДГС для оптических компонентов для сверхкоротких импульсов.
В дополнение к расширению импульса дисперсия может также сделать углы преломления на оптических поверхностях частотно-зависимыми, вызывая угловую дисперсию и зависящие от частоты длины пути.

