Инструкция Gentec-EO по измерению размера пятна лазерного пучка
Размер пятна и диаметр пучка
Для некоторых размер пятна лазерного пучка означает его наименьший диаметр в фокальной плоскости при фокусировке оптикой, тогда как для других людей он означает диаметр лазерного пучка на выходе из лазера или в любом другом месте, где им необходимо его измерить.
Важно проводить различие между этими двумя случаями, потому что подход к измерению различается.
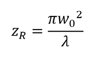
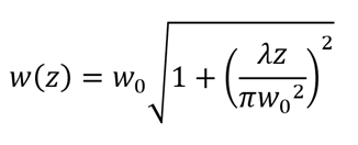
Когда лазерный пучок распространяется по оптическому пути, его диаметр постоянно меняется. Если мы рассмотрим идеальный случай гауссова луча, ширина пучка (или радиус w) вдоль оси распространения z определяется следующим уравнением:
где w0 - перетяжка пучка (наименьший радиус гауссова пучка), а zR – длина Рэлея:
Диаметр пучка просто вдвое больше радиуса, и его можно измерить в любом месте вдоль оси распространения.
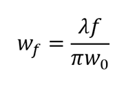
Когда гауссов пучок фокусируется линзой с фокусным расстоянием f, перетяжка (или уравнение размера лазерного пятна) становится:
Диаметр перетяжки
Поэтому размер пятна лазера может быть очень маленьким, и когда это так, размер пятна меняется очень быстро вдоль оси распространения. Измерение размера фокального пятна лазерного луча – почти само по себе искусство, поскольку оно требует очень высокой степени точности положения плоскости изображения датчика и средств регулировки этого положения для нахождения фокальной плоскости.
Поскольку измерение фокального пятна – это, по сути, частный случай измерения диаметра лазерного пучка, в этой статье внимание сосредоточено на последнем
Способы определения диаметра пучка
Существует три общих определения диаметра пучка: FWHM, 1/e2 и D4σ. Вот краткий обзор того, как они рассчитываются и как они связаны.
Виды определения диаметра пучка
Полная ширина на полувысоте (FWHM)
Полная ширина на полувысоте, также называемая шириной луча половинной мощности, измеряется по кривой распределения интенсивности вдоль заранее определенной оси, проходящей через центр пучка, который также обычно является точкой максимальной интенсивности. FWHM соответствует расстоянию между двумя точками, ближайшими к пику, которые имеют 50% максимальной освещенности или интенсивности.
Некоторые предпочитают использовать другие процентные значения максимальной интенсивности луча для определения его ширины. Обычно это 13,5%, что приводит нас к следующему определению диаметра пучка: 1/e2.
13.5% от максимума (1/e2)
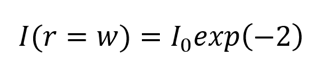
Хотя это может показаться странным выбором значения, 1/e2 на самом деле является упрощением. В уравнении, описывающем радиальное распределение гауссова пучка,
можно увидеть, что если посмотреть на точку, где радиус равен w (следовательно, при теоретическом радиусе ширины пучка), то интенсивность будет равна 1/e2, умноженному на максимальное значение:
Всё потому, что константа Эйлера (e) приблизительно равна 2,71828, поэтому 1/e2 = 0,13534.
И Американский национальный стандарт, и Федеральное управление гражданской авиации используют это определение для расчетов лазерной безопасности. Если нужно измерить размер пятна лазерного луча в соответствии с правилами лазерной безопасности, то придется использовать определение 1/e2.
А связана эта величина с FWHM очень просто – из уравнения гауссова пучка можно найти радиус, для которого интенсивность равна половине максимальной, и выделить w:
Поскольку определения как FWHM, так и 1/e2 вычисляются из распределения интенсивности вдоль одной оси, ни одно из них не учитывает общий профиль пучка. Следующее определение делает именно это.
Ширина D4σ
Это третье определение диаметра лазерного луча используется очень часто, в основном из-за того, что его использование рекомендовано международным стандартом ISO для измерения ширины (диаметра) пучка, углов расходимости и коэффициентов распространения лазерных лучей.
Обычно диаметр D4σ в 4 раза превышает стандартное отклонение распределения интенсивности вдоль большой и малой осей луча. Он рассчитывается по второму моменту профиля пучка. Для идеального гауссова пучка без шума в системе измерения измеренные диаметры в определении 1/e2 и D4σ идентичны.
Основным недостатком этого метода является то, что, если при измерении присутствует фоновый шум, расчетный диаметр будет больше реального значения. Вот почему рекомендуется всегда выполнять вычитание фона перед измерением диаметра лазерного луча.
Подходящие инструменты
Знание своего лазера – это первый шаг к приобретению правильного профилографа лазерного пучка для измерения размера пятна.
Диапазон длин волн
Поскольку инструмент основан на массиве детекторов, он должен быть чувствительным к длине волны лазера. Если это не так, то не получится никакого сигнала, следовательно, никаких измерений. В некоторых случаях рекомендуются аксессуары для профилирования пучка лазера, такие как УФ-преобразователи или ИК-адаптеры, которые используют флуоресценцию или фосфоресценцию для преобразования пучка в видимые длины волн, к которым чувствительны камеры Gentec-EO.
Если длина волны находится в спектральной области, где датчик лишь немного чувствителен, то рекомендуется использовать фильтр, который будет блокировать свет с другими длинами волн, уменьшая шум от окружающей среды или нежелательных источников.
Размер датчика и шаг пикселей
Перед покупкой прибора для профилирования лазерного пучка нужно иметь общее представление о размере пучка, который будет измерен. Надо будет знать это, чтобы убедиться, что датчик достаточно большого размера и пиксели достаточно малы.
Рекомендуется выбирать размер сенсора как минимум в 3 раза больше наибольшего диаметра. Что касается шага пикселя (или, что то же самое, размера пикселя), рекомендуется, чтобы наименьший пучек, который надо измерить, должен уместиться в пределах не менее 10 пикселей.
Например, если датчик имеет шаг пикселя 5.5 мкм, не следует пытаться измерять с его помощью пучки размером менее 55 мкм.
Мощность лазера и плотность мощности лазера
Последний параметр, который нужно будет проверить – это плотность мощности лазера, попадающая на датчик. Можно рассчитать это по диаметру пучка и средней мощности (даже для импульсных лазеров) и соответственно добавить фильтры ослабления.
Также нужно принять во внимание, что чувствительность профилировщика лазерного пучка изменяется с длиной волны. Чтобы упростить расчеты, компания Gentec-EO представляет кривые минимальной и максимальной плотности мощности для каждого из профилометров пучка.
Кривые максимальной и минимальной плотности мощности
Если средняя мощность превышает 1 Вт, перед использованием фильтров ослабления необходимо будет измерить пучок. Компания Gentec-EO предлагает различные модели измерителей пучка лазера, чтобы удовлетворить ваши потребности в затухании до 500 Вт.
Если неизвестны точный диаметр пучка и мощность лазера, приблизительные значения будут правильными, потому что профилировщики луча имеют регулировку времени экспозиции для компенсации изменений плотности мощности.
