Руководство Gentec-EO по измерению расходимости пучка лазера
Лазеры востребованы из-за их хорошо сколлимированных одноволновых электромагнитных лучей. Низкая расходимость, излучение одной длины волны и широкий выбор доступных диапазонов мощности лазера делают их одним из самых ценных инструментов для обработки материалов в промышленности и исследованиях.
Расходимость лазерного пучка – один из важных параметров, который необходимо знать производителям лазеров и пользователям, которым необходимо контролировать размер лазерного пятна. От лазерной сварки до нарезки пластин или глазной хирургии – знание расходимости пучка является обязательным условием для создания функциональной установки и направления энергии именно туда, где она необходима для каждого процесса.
Расходимость лазерного пучка
Для круглого пучка лазера расходимость определяется как угловая мера увеличения диаметра луча с увеличением расстояния от лазерной апертуры. Он измеряется в миллирадианах (мрад) или градусах (°). Проще говоря, он сообщает, как луч растет от источника к цели.
Лазерные лучи расходятся, потому что для получения коллимированного пучка на бесконечное расстояние потребуется бесконечно тонкая и длинная полость из атомов, излучающих фотоны в резонансе вдоль одного направления. В реальной жизни все обстоит иначе: например, учитывая растущее число промышленных применений, таких как сварка, резка или наплавка, с использованием волоконных лазеров с большим расхождением на выходе из волокна, проблема расхождения неизбежна.
Точнее, расходимость определяется как угол, под которым луч расширяется в дальнем поле (то есть на расстоянии от фокуса пучка, которое намного дальше, чем длина Рэлея) с использованием середины перетяжки пучка в качестве эталона.
Рэлеевская длина Zr – это расстояние по оси распространения от перетяжки пучка до места, где площадь поперечного сечения пучка удваивается.
Полуугол расходимости
Измерение расхождения лазерного пучка
Круглые лазерные пучки обычно имеют гауссову форму распределения плотности энергии (или энергетической освещенности) от центра к краям. Эта колоколообразная кривая говорит о том, что большая часть энергии пучка находится в центре, вдоль оси распространения.
Теоретическое поперечное сечение гауссова пучка
Подходящая камера для профилирования лазерного пучка, такая как Beamage-4M, будет обеспечивать измерения размера пучка в соответствии с ISO, такие как радиус, определяемый расстоянием от точки максимальной плотности энергии Emax в распределении энергии (в центре) до точки, в которой плотность энергии равна Emax/e2.
Пример гауссовой аппроксимации по осям x и y в программном обеспечении Gentec-EO PC-Beamage
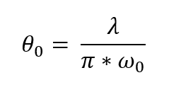
Формула расхождения пучка лазера
Для кругового гауссова пучка минимально достижимое значение расходимости определяется этой простой формулой:
длина волны лазера и естественная перетяжка пучка – ее наименьший размер по оси z.
Говорят, что лазерный гауссов пучок ограничен дифракцией, когда измеренная расходимость близка к θ0.
Вот как легко измерить расходимость лазерного луча.
Измерение расходимости с помощью камеры
Казалось бы, перемещение камеры вдоль оси распространения лазера необходимо для измерения расходимости, но на самом деле это не так!
Имеется в виду, что для получения M2-фактора лазерного пучка (также известного как коэффициент качества) необходимо измерить как расходимость θ, так и перетяжку ω0, что требует перемещения вдоль оси z.
Безразмерный коэффициент M2 является индикатором качества лазерного пучка и количественно определяет, насколько близко распространение исследуемого пучка к распространению теоретического гауссова пучка той же длины волны.
Для измерения коэффициента M2 необходимо использовать подвижный столик для профилировщика луча, а также линзы и выравнивающие зеркала, которые доступны в виде полного пакета благодаря автоматизированной системе Gentec-EO Beamage-M2. Он добавляет дополнительный уровень информации о качестве пучка, но в данном случае не нужно получать несколько значений диаметра пучка по оси z для расчета расходимости.
Порядок измерений
Первый шаг – установить объектив без аберраций между камерой и лазером. Ключевым моментом является размещение линзы в дальней зоне лазерного пучка, а датчик камеры – точно в фокусе линзы (а не на перетяжке пучка).
Согласно стандарту ISO11146: 2005 расхождение по обеим основным осям (x и y) определяется следующим образом:
ωf – ширина сфокусированного пятна на расстоянии f от линзы, а f – фокусное расстояние объектива на длине волны лазера. Необходимо помнить, что фокусное расстояние зависит от длины волны, поэтому следует убедиться, что получено правильное значение от поставщика.
Этот метод применим также к негауссовым пучкам. Нет необходимости измерять диаметр пучка до или после точки фокусировки; в этом вся прелесть этой установки. Если изменить объектив на другое фокусное расстояние, размер пучка в точке фокуса будет другим, но если камера правильно расположена в точке фокуса, то измеренная расходимость будет такой же.
Управление расходимостью пучка лазера
Например, с помощью мощных волоконных лазеров образец обычно обрабатывается близко к выходу волокна, но расходимость контролируется и изменяется с помощью оптических сканеров, которые обеспечивают требуемый размер пучка на обрабатываемом образце.
Коллиматоры также могут использоваться в маломощных волоконных лазерах, в телекоммуникациях и различных диодных лазерах.
Естественная расходимость часто используется для увеличения размера пучка лазера и соответствия порогам плотности мощности для измерения мощности с помощью измерителя мощности лазера.
Детекторы мощности изучения

