Выбор пьезопривода и драйвера. Срок службы и правила крепления
В статье выбор пьезоэлементов обсуждалась общая теория работы пьезоэлектрических приводов. В этой статье будет обсуждаться то, как применять эти концепции в работающей системе. Пьезоэлементы могут быть надежными исполнительными механизмами, в то же время они часто имеют минимально возможные размеры, работая на близких к предельным значениям характеристик, или неправильно внедряются в систему. Пьезоэлементы иногда считают самым слабым звеном в механической системе, потому что неправильное их использование может привести к выходу из строя пьезопривода. Повреждения в пьезоэлементах могут наблюдаться не сразу, но могут повлиять на надежность и воспроизводимость в долгосрочной перспективе.
Крепление устройств ЦТС (цирконат-титаната свинца)
Пьезокерамика хрупкая и имеет низкую прочность на растяжение или разрыв. Избегайте нагрузки, при которой на привод воздействуют продольные, поперечные или изгибающие усилия. При неправильном применении внешняя нагрузка, которая кажется сжимающей, может из-за изгибающих моментов вызывать сильные натяжения внутри пьезоэлектрического устройства. Неправильная установка нагрузки на пьезоэлектрический привод может привести к внутренним напряжениям, которые повредят привод. Чтобы избежать этого, пьезоэлектрический привод должен быть сопряжен с внешней нагрузкой так, чтобы индуцированная сила была направлена вдоль оси перемещения привода. Нагрузка должна быть отцентрирована и приложена максимально равномерно к поверхности крепления нагрузки. При сопряжении плоской поверхности груза с поверхностью привода, оснащенной плоской крепежной пластиной, убедитесь, что две сопрягаемые поверхности плоские, гладкие и параллельны друг другу при соприкосновении. Если внешняя нагрузка направлена под углом к оси смещения привода, используйте привод с полусферической концевой пластиной или гибким соединением, чтобы обеспечить безопасную нагрузку на пьезоэлектрический элемент. Компания Thorlabs изготавливает разные модели торцевых пластин для пьезоприводов по индивидуальному заказу.
Одной из наиболее распространенных ошибок при установке пьезопривода является неправильный подбор сопрягаемых поверхностей, особенно в тех случаях, когда не используется «плавающая» ось. Важно отметить, что при установке плоской поверхности на плоскую поверхность даже незначительные неточности совмещения между двумя поверхностями приведет к сдавливанию края и высокому давлению в локальных точках. Сдавливание края часто приводит к повреждению керамики ЦТС. На рисунках 1 и 2 показано несколько неправильных и правильных вариантов геометрии крепления.
Рис. 1 Неправильно и правильно установленные пьезоприводы. В случае (A) ЦТС будет испытывать значительное сжатие края, что может привести к отказу работы многослойного ЦТС. Это сжатие края может быть исправлено с помощью полусферической пластины (B), полусферической торцевой пластины (C) или изгибного крепления, обеспечивающего полный контакт с поверхностью ЦТС (D).
Рис. 2 Многослойный ЦТС, приводящий в действие рычаг. Использование ЦТС с плоской гранью, как показано в (A), может привести к сжатию края, что может привести к выходу из строя многослойного ЦТС. Использование полусферической пластины, как показано в (B), обеспечивает надлежащий контакт с ЦТС и ограничивает напряжение в осевом направлении.
При установке между пластинами рекомендуется использовать шариковый или гибкий наконечник, чтобы избежать изгибающих и поперечных сдвигающих сил, действующих на привод. В разделе многослойные пьезоэлементы Thorlabs предоставлены варианты как плоских, так и полусферических концевых пластин. Компания Thorlabs также предлагает воронкообразные торцевые наконечники для создания контакта PKFCUP, чтобы помочь в правильном креплении многослойного ЦТС (показано на рисунке 1). Важно избегать чрезмерного крутящего момента или боковых сил при креплении и эксплуатации привода.
При использовании клея для закрепления груза на пьезоприводе необходимо соблюдать осторожность, чтобы обеспечить правильную установку. Любой эпоксидный клей, который отверждается при температуре ниже 80° C, считается безопасной в использовании. Высокотемпературный клей Thorlabs 353NDPK и вакуумный клей TS10 подходят для работы с пьезоэлементами Thorlabs. Кроме того, эпоксидный клей Loctite Hysol 9340 также может быть использован для работы с ЦТС. Важно закрепить нагрузки только на крепежных пластинах ЦТС; боковые стороны ЦТС не предназначены для сдвига. Следовательно, при приклеивании груза к ЦТС клей должен контактировать только с пластинами для крепления. Следует избегать использования чрезмерного количества клея, так как он может вытекать по сторонам пьезоэлемента и привести к механическому повреждению.
В статье выбор пьезоэлементов обсуждалось влияние предварительной нагрузки на привод. Предварительная загрузка также полезна для работы с грузами. Поскольку ЦТС чувствительны к тяговым силам, внешняя предварительная нагрузка может использоваться для уменьшения тяговой силы на приводе, что продлевает срок его службы и способствует надежной и воспроизводимой работе.
Воздействия внешних условий
Срок службы ЦТС зависит от напряжения, на котором они работают, температуры окружающей среды и уровня влажности. Стандартные ЦТС подвержены повреждениям в условиях повышенной влажности (> 75%). Высокая влажность увеличивает вероятность возникновения электролитических реакций, которые происходят на электродах пьезоэлектрических устройств при приложении напряжения. Эти реакции генерируют водород и приводят к росту металлических дендритов от катода к аноду. Водород, выделившийся в результате электролитической реакции, вступает в химическую реакцию и разрушает пьезоэлектрический материал. Дендриты приводят к увеличению уровня тока утечки. Если необходимо использовать ЦТС в среде с высокой влажностью, необходимо поддерживать как можно более низкую температуру окружающей среды, работать при минимально возможных напряжениях и использовать либо герметически закрытые корпуса, либо систему с подачей сухого воздуха.
Кроме того, ЦТС могут быть повреждены в среде легких благородных газов (например He или Ar) или водорода. Это повреждение вызвано пробоем диэлектрика в многослойном ЦТС, который будет вызван такими газами. Чтобы снизить риск повреждения в такой атмосфере, предлагается использовать низковольтные приводы и использовать их при максимально низком рабочем напряжении.
ЦТС могут работать в вакууме, но при этом необходимо соблюдать осторожность. Скорость дегазации конкретного привода ЦТС может повлиять на вакуумную систему и ограничить использование привода. Скорость дегазации будет варьироваться в зависимости от модели, поэтому важно убедиться, что вы используете правильное значение для используемой модели. Кроме того, пробой диэлектрика может быть легко вызван при определенных давлениях. Например, воздух действует как сильный изолятор в атмосфере и при давлении ниже 10-2 Торр. Однако в диапазоне 0.01-10 Торр воздух больше не действует как сильный изолятор, и при этих давлениях диэлектрическое разрушение может происходить быстрее. Следовательно, ЦТС не должны работать при давлениях от 0.01 до 10 Торр.
Свойства драйвера
Мы потратили много времени на обсуждение общих свойств ЦТС: конструкция, механические и электрические характеристики, частотная характеристика и т. д. Однако пьезоэлемент не работает в изоляции. Пьезопривод обычно приводится в действие электрическим сигналом от внешнего источника. Поскольку ЦТС преобразует небольшой электрический потенциал в соответственно небольшое смещение, небольшие колебания электрического шума от драйвера будут отражаться в приводе как механический шум. Поэтому для позиционирования с высокой точностью нужен драйвер, обеспечивающий сверхмалошумящее, высокостабильное линейное усиление. Оценить механический шум можно, используя следующее уравнение:
Здесь ΔLшума - механический шум системы, ΔVшума - шум напряжения от усилителя, а ΔLмакс. - максимальное смещение при максимальном потенциале (Vмакс.). Таким образом, для приложений точного позиционирования крайне важно выбрать подходящий драйвер с самым низким уровнем шума.
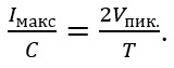
Для динамического управления движением часто используются мощные импульсные источники питания (поскольку драйвер должен обеспечивать достаточный ток для зарядки емкости ЦТС), хотя они, как правило, имеют большие амплитуды шума. Здесь пиковый ток является важным параметром, поскольку он влияет на время зарядки. Если источник питания не может обеспечить необходимый ток при модуляции устройства ЦТС, выходной сигнал искажается, ограничивая смещение.
Частотная модуляция обсуждалась в разделе «Динамическая работа привода» в статье выбор пьезоэлементов. Для различных модулирующих сигналов пиковый ток задается одним из следующих уравнений:
В этих уравнениях f - частота возбуждения, C - емкость привода ЦТС, Vпик. - пиковое напряжение от источника питания, а Δt - время нарастания напряжения. Источник питания должен не только иметь возможность достигать максимального тока, но и иметь полосу пропускания для модуляции емкости ЦТС на желаемой частоте. Обратимся к кривой частотной характеристики пьезоэлектрического драйвера (см. рис. 3). Драйверы ЦТС будут генерировать различные кривые частотной характеристики при изменении емкости, кривые показаны на рисунке 3. Ширина полосы определяется как частота, на которой выходная мощность составляет половину от максимального значения (3 дБ), и присутствует значительный сдвиг фазы. Основное правило заключается в том, что для точного воспроизведения сигнала следует управлять ЦТС на частоте, которая составляет ≤10% от полосы пропускания усилителя для данной емкости этого ЦТС.
Рис.3 Кривые АЧХ для контроллера KPZ101 ЦТС при разных емкостных нагрузках.
Другим вариантом драйвера будет драйвер заряда. Драйвер заряда использует электрический заряд вместо напряжения для управления смещением пьезопривода. Есть несколько преимуществ использования драйвера заряда по сравнению с драйвером напряжения. Одним из самых больших преимуществ является снижение гистерезиса. Во время контроля напряжения гистерезис может достигать 15%. Однако с помощью управления зарядом гистерезис может быть снижен до 2%, что значительно увеличивает точность смещения для динамических применений. Другим важным преимуществом является то, что контроль заряда обеспечивает повышенную динамическую жесткость по сравнению с контролем напряжения. Это связано с тем, что, будучи под контролем заряда, механически генерируемый заряд не рассеивается. Несмотря на то, что контроль заряда снижает гистерезис, для приложений с высокой точностью позиционирования все же рекомендуется использовать систему с обратной связью. В статье выбор пьезоэлементов можно найти дополнительную информацию о гистерезисе при движении пьезоэлемента.
Продолжительность жизни пьезоэлемента
ЦТС подвкржены повреждениям от сдвигающих и тянущих сил; однако, при надлежащем внимании к креплению, эта вероятность неисправности может быть снижена, если не устранена. ЦТС не будет страдать от механических повреждений при длительном использовании. Птезопривод может выполнять миллиарды циклов без изменения производительности, если он установлен и приводится в движение правильно. Поскольку ЦТС является емкостным устройством, приложенное напряжение оказывает значительное влияние на его срок службы. Таким образом, при работе с ЦТС лучше всего стараться поддерживать среднее напряжение как можно ниже.
Нет никаких установленных правил для продолжительности жизни пьезоэлемента. Крепление, движение, окружающая среда, нагрузка, частота модуляции и т. д. - все это влияет на долговременную стабильность пьезоэлемента. Однако, понимая, как работают ЦТС, их ограничения и динамику использования, и используя это понимание для их правильного использования, пользователь может поддерживать работоспособность и надежность системы ЦТС в течение многих лет.
Здесь представлены некоторые общие рекомендации, которые можно соблюдать, чтобы улучшить общий срок службы вашего пьезоэлемента. Помимо правильного крепления, есть три фактора, которые играют ключевую роль в сроке службы пьезоэлемента: рабочее напряжение, температура окружающей среды и относительная влажность. Было проведено несколько исследований, посвященных влиянию этих трех факторов на долговечность и надежность ЦТС при напряжениях постоянного тока; мы кратко обсудим некоторые из этих результатов.
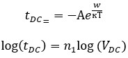
Было обнаружено, что увеличение приложенного напряжения, температуры или влажности значительно сократит срок службы привода ЦТС. Например, срок службы пьезоэлемента с толщиной слоя 40 мкм, работающего при 80°C, уменьшился с 3000 часов до всего лишь 70 часов, когда приложенное напряжение удвоилось с 200 В до 400 В. Что касается температуры, при 200 В срок службы уменьшился с 3000 до 30 часов, когда температура была повышена с 80 до 200°C (для такого же пьезоэлемента). Общая зависимость срока службы от напряжения и температуры приведена ниже.
Здесь tDC – время жизни пьезоэлемента, A и n1 - постоянные, W - энергия активации, k - постоянная Больцмана, T - температура в Кельвинах, а VDC - приложенное напряжение. Из уравнений выше видно, что соотношение между временем жизни и температурой очень похоже на соотношение Аррениуса. Уравнения показывают взаимосвязь между временем жизни и приложенным напряжением. Влажность также оказывает глубокое влияние на срок службы пьезоэлектрического устройства. Поскольку механизмы, посредством которых вода наносит ущерб ЦТС, сложны и не до конца понятны, математические зависимости еще предстоит установить. Однако было обнаружено, что увеличение относительной влажности с 10% до 80% сокращает срок службы на 2–3 десятилетия.
Выбор привода и драйвера
Применение всегда определяет выбор привода и драйвера. Универсального ЦТС, подходящего для всех случаев, не существует. Таким образом, пользователь должен оценить потребности своей системы и найти подходящий привод и драйвер, которые соответствуют этим потребностям, а также друг другу. Чтобы определить правильный привод и драйвер, вот несколько полезных вопросов для рассмотрения:
- Какой сдвиг / ход необходим в системе?
- Какие силы будут генерироваться действием ЦТС?
- Какова статическая предварительная нагрузка на ЦТС?
- Какая внешняя масса воздействует на привод?
- На какой частоте система должна модулироваться?
- Какое необходимо смещение на частоте модуляции?
- Какова желаемая максимальная частота при максимальном смещении?
- Как быстро должен действовать привод (то есть время спада и нарастания)?
Не все эти вопросы необходимы для какого-либо конкретного приложения. Например, если система должна быть с точным позиционированием или с низкой динамикой, то первые 3 вопроса будут наиболее применимыми, поскольку привод не будет модулироваться. Однако, если интерес представляет система с динамической работой, вопросы 4–8 помогут выбрать подходящий драйвер (путем расчета необходимых значений Imax и Iave).
Выбирая подходящий драйвер, имейте в виду, что чем меньше, тем лучше, так как перегрузка ЦТС может его повредить. Драйвер должен соответствовать требованиям к напряжению вашего ЦТС и не превышать допустимых значений. Не используйте драйвер, который выдает значительно более высокое напряжение, чем ЦТС. Правильно подобранные ЦТС и драйвер помогут повысить эффективность работы системы, а также ее срок службы.
Ширина полосы (пропускная способность) пьезоэлемента
Знание скорости, с которой пьезоэлемент способен изменять длину, необходимо во многих высокоскоростных приложениях. Пропускная способность пьезоконтроллера может быть оценена, если известно следующее:
- Максимальный ток, который могут выдавать контроллеры - 0.5 А для пьезоконтроллеров Thorlabs серии BPC, которые используются в приведенных ниже примерах.
- Нагрузочная емкость пьезоэлемента. Чем выше емкость, тем медленнее система.
- Требуемая амплитуда сигнала (V), которая определяет длину, на которую растягивается пьезоэлемент.
- Абсолютная максимальная пропускная способность драйвера, которая не зависит от загружаемой нагрузки.
Для возбуждения выходного конденсатора необходим ток для его зарядки и разрядки. Изменение заряда, dV/dt, называется скоростью нарастания. Чем больше емкость, тем больше необходимый ток:
Например, если многослойный ЦТС 100 мкм с емкостью 20 мкФ управляется пьезоконтроллером серии BPC с максимальным током 0.5 А, скорость нарастания определяется как:
Следовательно, для мгновенного изменения напряжения от 0 В до 75 В потребуется 3 мс, чтобы выходное напряжение достигло 75 В.
Для этих расчетов предполагается, что абсолютная максимальная ширина полосы пропускания драйвера намного выше, чем рассчитанная ширина полосы пропускания, и, следовательно, полоса пропускания драйвера не является ограничивающим фактором. Также обратите внимание, что эти расчеты применимы только для систем с разомкнутым контуром. В режиме замкнутого контура медленный отклик контура обратной связи накладывает другое ограничение на полосу пропускания.
Синусоидальный сигнал
Зависимость напряжения от времени
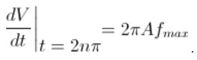
Полоса пропускания системы обычно относится к реакции системы на синусоидальный сигнал заданной амплитуды. Для пьезоэлемента, управляемого синусоидальным сигналом пиковой амплитуды A, пикового напряжения Vпик. и частоты f, имеем:
Максимальная скорость нарастания или изменение напряжения достигается при t = 2nπ (n = 0, 1, 2, ...) в точке a на диаграмме выше:
Из уравнения выше:
Для приведенного выше примера максимальная ширина диапазона (75 В) будет:
Для пьезоэлемента меньшего размера с емкостью меньшей в 10 раз результаты будут в 10 раз лучше или около 1060 Гц. Или, если сигнал от пика к пику снижается до 7,5 В (максимальная амплитуда 10%) с многослойным ЦТС 100 мкм, опять же, результат будет в 10 раз лучше при частоте около 1060 Гц.
Треугольный сигнал
Зависимость напряжения от времени
Для пьезоэлектрического привода, приводимого в движение с помощью треугольньного сигнала с максимальным напряжением Vпик. и минимальным напряжением 0, скорость нарастания равна наклону:
Или, так как f=1/t:
Сигнал прямоугольной формы
Зависимость напряжения от времени
Для пьезоэлектрического привода, приводимого в действие сигналом прямоугольной формы с максимальным напряжением Vпик. и минимальным напряжением 0, скорость нарастания ограничивает минимальное время нарастания и спада. В этом случае скорость нарастания равна наклону, когда сигнал растет или падает. Если tнарастания минимальное время нарастания, то

