Детекторы от компании Thorlabs
Фотодиоды
Принцип работы
Фотодиод – быстродействующее линейное устройство, которое обладает высокой квантовой эффективностью, и генерирует фототок, когда свет поглощается в обедненной области полупроводникового перехода. На рис. 1 представлена эквивалентная схема, отражающая принцип работы фотодиода.
Рис.1 Эквивалентная схема фотодиода
Уровень выходного тока фотодиода определяется по формуле:
Основные понятия
Чувствительность фотодиода определяется как отношение генерируемого фототока (IPD) к мощности (P) падающего излучения на заданной длине волны.
Режимы работы (Фотодиодный и Фотогальванический)
Фотодиоды могут работать в двух режимах: фотогальваническом (без внещнего источника эдс) и фотодиодном (с подачей на p- n- переход обратного смещения от внешнего источника эдс). Выбор режима работы зависит от требований к быстродействию и допустимого значения темнового тока (ток обратно смещенного p-n перехода)
Фотодиодный режим
В фотодиодном режиме используется источник питания, который смещает фотодиод в обратном направлении (фотодетекторы DET серии от компании Thorlabs). При этом через фотодиод течет обратный ток, пропорциональный падающей мощности излучения. Приложение напряжения обратного смещения расширяет обедненный слой, что приводит к уменьшению емкости перехода и обеспечивает линейность отклика. Работа в фотодиодном режиме характеризуется большими значениями темнового тока. Его величина зависит от материала полупроводника.
Фотогальванический режим
В фотогальваническом режиме фотодиод работает без внешнего источника питания (напряжение обратного смещения отсутствует). Принцип действия фотодиода в этом режиме основан на фотогальваническом эффекте. В таком режиме он может работать в качестве датчика или в качестве элемента питания (солнечной батареи). В фотогальваническом режиме темнового тока принимает минимальные значения.
Темновой ток
Темновой ток – это ток утечки, который растет при увеличении напряжения обратного смещения. При работе в фотодиодном режиме наблюдаются более высокие значения темнового тока, которые зависят от температуры окружающей среды. При увеличении температуры на 10 °C величина темнового тока увеличивается примерно в 2 раза, а шунтирующее сопротивление удваивается при увеличении температуры на 6 °C. Чем выше напряжение смещения, тем меньше емкость перехода, но тем больше величина темнового тока.
Темновой ток также зависит от материала полупроводника и размера активной области. Например, у кремниевых фотодиодов значения темнового тока значительно ниже, чем у германиевых. В таблице ниже представлены различные полупроводниковые материалы и их относительные значения темнового тока, чувствительности, быстродействия и стоимости.
|
Материал |
Темновой ток |
Быстродействие |
Спектральный диапазон |
Стоимость |
|
Кремний (Si) |
Низкий |
Высокое |
Видимый – Ближний ИК |
Низкая |
|
Германий (Ge) |
Высокий |
Низкое |
Ближний ИК |
Низкая |
|
Фосфид галлия (GaP) |
Низкий |
Высокое |
УФ - Видимый |
Средняя |
|
Арсенид галлия-индия (InGaAs) |
Низкий |
Высокое |
Ближний ИК |
Средняя |
|
Антимонид арсенида индия (InAsSb) |
Высокий |
Низкое |
Ближний – Средний ИК |
Высокая |
|
Кадмий-ртуть-теллур (MCT, HgCdTe) |
Высокий |
Низкое |
Ближний – Средний ИК |
Высокая |
Емкость перехода
Емкость перехода (Cj) является важной характеристикой фотодиода и имеет большое влияние на быстродействие и ширину полосы пропускания фотоприемника. Следует отметить, что емкость p-n перехода зависит от его площади и ширины (она тем больше, чем больше площадь перехода). Приложение напряжения обратного смещения приводит к увеличению ширины обедненного слоя, и таким образом к уменьшению емкости и росту быстродействия.
Ширина полосы пропускания и отклик
Нагрузочное сопротивление (RLOAD) и емкость перехода влияют на частотную характеристику фотодетектора. Ширину полосы пропускания (fBW) и время нарастания (tr) можно оценить по формулам:
Эквивалентная мощность шума (NEP)
Эквивалентная мощность шума (NEP) это среднеквадратическое значение генерируемого напряжения, когда отношение сигнал/шум равно единице. Данная величина характеризует способность детектора регистрировать слабые световые сигналы. Эквивалентная мощность шума возрастает при увеличении площади активной области и определяется по формуле:
, где S/N – отношение сигнал/шум, Δf - ширина шумовой полосы частот, Incident Energy – энергия светового потока (единицы измерения Вт/см2).
Согласованное нагрузочное сопротивление
Нагрузочное сопротивление используется для преобразования генерируемого фототока в напряжение (VOUT):
В зависимости от типа фотодиода сопротивление нагрузки может повлиять на скорость отклика. Для обеспечения оптимальной ширины полосы пропускания компания Thorlabs рекомендует использовать коаксиальный кабель (50 Ом) с терминатором на 50 Ом. Это минимизирует паразитные затухающие колебания благодаря согласованной нагрузке. Если ширина полосы пропускания не важна, то выходное напряжение можно увеличить путем увеличения нагрузки (RLOAD). При несогласованной нагрузке длина коаксиального кабеля может иметь большое влияние на отклик фотодетектора, поэтому рекомендуется использовать короткий кабель.
Шунтирующее сопротивление
Шунтирующее сопротивление – это сопротивление несмещенного перехода. Идеальный фотодиод будет иметь бесконечное шунтирующее сопротивление, но реальные приборы имеют сопротивление порядка 10 Ом – 1000 МОм, значение которого зависит от материала фотодиода. Например, InGaAs детекторы обладают шунтирующим сопротивлением порядка 10 МОм, тогда как сопротивление Ge детектора составляет несколько кОм. Это может существенно повлиять на уровень шума, но для большинства приложений высокое сопротивление оказывает незначительное влияние и им можно пренебречь.
Последовательное сопротивление
Последовательное сопротивление определяется сопротивлением полупроводникового материала. Оно пренебрежимо мало, и его влиянием в большинстве случаев можно пренебречь. Последовательное сопротивление возникает благодаря контактам и проводным соединениям фотодиода. В основном оно используется для определения линейности фотодиода при нулевом смещении.
Стандартные схемы детекторов
Рис.2 Схема детекторов с обратно смещенным диодом (детекторы DET серии)
На рис.2 представлена схема, отражающая принцип работы детекторов DET серии с обратно смещенным фотодиодом. Величина генерируемого фототока зависит от светового потока и длины волны излучения. При подключении нагрузочного сопротивления данную величину можно наблюдать с помощью осциллографа. Функция RC-фильтра заключается в подавлении высокочастотного шума источника питания.
Рис.3 Схема детектора с усилителем
При использовании схемы фотоприемников с усилителем пользователь может выбирать режим работы фотодиода (фотогальванический или фотодиодный). Каждый режим обладает своими преимуществами:
- Фотогальванический режим: в фотогальваническом режиме к диоду не прикладывается напряжение, и потенциал на входе A операционного усилителя равен потенциалу в точке B. При работе в таком режиме темновой ток пренебрежимо мал.
- Фотодиодный режим: в фотодиодном режиме к p-n переходу приложено напряжение обратного смещения, что уменьшает емкость перехода и увеличивает полосу пропускания. Усиление зависит от резистора обратной связи (Rf). Ширина полосы пропускания детектора определяется по формуле:
, где GBP – это произведение коэффициента усиления на ширину полосы пропускания ОУ, CD – сумма емкости перехода и усилителя.
Частота модуляции
Спектральная плотность шума большинства детекторов, включая PbS, PbSe, HgCdTe (MCT) и InAsSb, имеет зависимость вида 1/f (шум уменьшается при увеличении частоты), что оказывает значительное влияние на постоянную времени в области низких частот.
Таким образом, частота модуляции (скорость изменения интенсивности) излучения оказывает влияние на чувствительность прибора. Оптимальные значения характеристик фотоприемника достигаются при частоте:
Срок службы батареи
При использовании фотодетектора, работающего от батареи, важно понимать, каков срок службы аккумулятора и как он влияет на работу детектора. Выходной ток детектора прямо пропорционален потоку падающего излучения. Большинство пользователей преобразуют этот ток в напряжение с помощью согласованной нагрузки. Величина сопротивления приблизительно равна коэффициенту усиления схемы. Для высокоскоростных детекторов, например, таких как DET08, необходимо использовать нагрузку с сопротивлением 50 Ом для согласованности с импедансом стандартных коаксиальных кабелей. Это позволит уменьшить обратные отражения и улучшить качество выходного сигнала.
Срок службы батареи напрямую зависит от тока в детекторе. Большинство производителей батареек выражают срок службы батарейки в мА*ч (миллиампер-час). Например, если аккумулятор рассчитан на 190 мА*ч, он будет работать в течении 190 ч при потреблении тока 1.0 мА.
Пусть источник, излучение которого падает на детектор, работает на длине волны 780 нм со средней мощностью 1мВт. Чувствительность детектора на данный длине волны 0.5 А/Вт. Фототок можно рассчитать по формуле:
Таким образом срок службы батареи равен:
или 16 дней непрерывной работы. При уменьшении средней мощности падающего излучения до 10 мкВт, срок службы той же батарейки увеличится до 4 лет непрерывной работы. При использовании рекомендуемой согласованной нагрузки в 50 Ом, фототок (0.5 мА) преобразуется в напряжение:Если величина мощности падающего излучения уменьшится до 40 мкВт, то выходное напряжение станет равно 1 мВт. Для некоторых измерительных устройств, данное значение может оказаться слишком маленьким, поэтому необходимо искать компромисс между сроком службы батареи и точностью проводимых измерений.
При использовании детекторов на батарейках необходимо использовать излучение малой интенсивности, учитывая минимально необходимый уровень напряжения. Также важно помнить, что батарейка перестанет производить ток не сразу, как только приблизится к концу срока своей службы. Сначала напряжение батарейки упадет, и электрический потенциал, прикладываемый к фотодиоду уменьшится. А это в свою очередь приведет к увеличению времени отклика детектора и уменьшению ширины полосы пропускания.
Таким образом, важно убедиться, что батарейка обеспечивает достаточное напряжение для оптимальной работы детектора.
Для задач, в которых детекторы DET серии, облучаются непрерывно источником достаточно высокой мощности, или постоянная замена батарей является неприемлемой, компания Thorlabs предлагает адаптер DET1B и источник питания. Недостатком этого варианта является шум, который добавится к выходному сигналу и может увеличить погрешность измерений.
PbS и PbSe детекторы
Детекторы на основе сульфида свинца (PbS) и селенида свинца (PbSe) широко используются для регистрации излучения в диапазоне от 1000 до 4800 нм. Тогда как фотодиод генерируют ток под воздействием света, у фоторезистора при облучении изменяется величина сопротивления. Хотя PbS и PbSe детекторы можно использовать при комнатной температуре, температурные флуктуации будут оказывать воздействие на темновое сопротивление, чувствительность и быстродействие прибора.
Принцип работы
При поглощении света в фотопроводящем материале возникают избыточные носители заряда, приводящие к увеличению проводимости и уменьшению сопротивления. Изменение сопротивления приведет изменению величина измеряемого напряжения. На рис. представлена схема, отражающая принцип работы детекторов на основе фотопроводящих материалов. Следует отметить, что представленная схема не рекомендуется для применения на практике из-за присутствия низкочастотных шумов.
Механизм детектирования основан на проводимости тонкой пленки светочувствительного элемента. Сигнал на выходе детектора при отсутствии падающего излучения определяется уравнением:
Изменение напряжения на выходе ΔVOUT происходит из-за изменения сопротивления ΔRDark, когда свет попадает на активную область датчика:
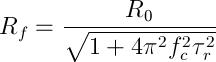
Частотная характеристика
Для детекторов зависимость чувствительности от частоты модуляции света имеет вид:
, где fc – частота модуляции, R0 – чувствительность при частоте 0 Гц, τr – время нарастания.
Воздействие температуры
Светочувствительный элемент PbS и PbSe детекторов представляет собой тонкую пленку на стеклянной подложке. Форма и активная область фотопроводящего элемента меняются в зависимости от условий эксплуатации, таким образом изменяя и другие характеристики. В частности, чувствительность детектора будет изменяться в зависимости от рабочей температуры.
Охлаждение детектора сместит спектральный диапазон чувствительности в область более длинных волн. Для получения оптимальных результатов рекомендуется использовать представленные детекторы в условиях контроля параметров окружающей среды.
Схема детектора на основе фотопроводящего материала с усилителем
Из-за шумовых характеристик предпочтительнее включение фоторезистора в цепь переменного тока. При включении фоторезистора в цепь постоянного тока шум, обусловленный приложенным напряжением, будет увеличиваться с ростом напряжения, таким образом, ограничивая чувствительность детектора. Для поддержания стабильности характеристик и получения высоких значений коэффициента усиления сигнала необходимо использовать предусилитель.
Согласно схеме (рис. выше), операционный усилитель (ОУ) стремится сравнять потенциалы в точках A и B с помощью контура обратной связи. Разница напряжений на входе ОУ усиливается и передается на выход. Следует отметить, что высокочастотный фильтр на входе усилителя не пропускает сигнал постоянного тока. Кроме того, нагрузочное сопротивление должно быть равно темновому сопротивлению детектора, чтобы обеспечить получение максимального сигнала. Величина напряжения источника питания (+V) должна быть такой, чтобы величина отношения сигнал/шум была оптимальной и приближалась к единице. Некоторые задачи требуют более высокого уровня напряжения, что приведет к увеличению уровня шума. Напряжение на выходе определяется по формуле:
Отношение сигнал/шум
Поскольку уровень шума детектора обратно пропорционален частоте модуляции сигнала, шум будет возрастать на малых частотах. Сигнал на выходе детектора линейно увеличивается при увеличении напряжения смещения, однако шумовые характеристики мало зависят от напряжения смещения при его низком уровне. При достижении определенного уровня напряжения смещения, шум детектора начнет линейно увеличиваться с ростом напряжения. При высоких значениях напряжения шум начнет расти экспоненциально, уменьшая отношение сигнал шум. Для обеспечения оптимального уровня сигнал/шум необходимо регулировать частоту модуляции сигнала и напряжение смещения.
Темновое сопротивление
Темновое сопротивление – это сопротивление детектора при отсутствии освещения. Следует отметить, что темновое сопротивление будет увеличиваться или уменьшается при изменении температуры. Охлаждение детектора будет снижать величину темнового сопротивления.
Обнаружительная способность (D) и удельная обнаружительная способность (D*)
Обнаружительная способность (D) - это еще одна величина, используемая для оценки эффективности фотоприемника. Обнаружительная способность характеризует чувствительность и обратно пропорциональна эквивалентной мощности шума (NEP):
Чем выше значение обнаружительной способности, тем выше чувствительность, то есть детектор способен регистрировать слабые сигналы. Обнаружительная способность зависит от длины волны падающих фотонов.
NEP детектора, а следовательно и его обнаружительная способность зависят от активной области, поэтому сравнение свойств двух детекторов является непростой задачей. Чтобы избавится от этой зависимости, используют удельную обнаружительную способность (D*), которая не зависит от площади детектора и используется для оценки эффективности фотоприемника. В уравнении ниже, А – площадь фоточувствительной области.

Позиционно-чувствительные детекторы
Двумерные позиционно-чувствительные датчики
Обзор
Двумерные позиционно-чувствительные датчики позволяют измерить положение, расстояние перемещения или углы падения пучка, а также они могут использоваться в качестве обратной связи в системах юстирования, например, для контроля положения зеркал, фокусировки микроскопа, и т.д. Детектор определяет положение светового пятна на основе пропорционального распределения фототока, который генерируется в месте падения светового луча. Существует два типа двумерных позиционно-чувствительных датчиков: с двухсторонним расположением электродов и с четырехсторонним расположением электродов.
Датчики с двухсторонним расположением электродов обладают резистивными слоями, нанесенными с обеих сторон подложки. Датчик имеет четыре вывода. Фототок распределяется на две входных и две выходных компоненты. Распределение выходных токов определяет положение координаты Y, а распределение входных –координаты X положения пучка.
Датчики с четырехсторонним расположением электродов обладают одним чувствительным резистивным слоем, расположенным с одной стороны подложки. Такие датчики значительно дешевле датчиков с двухсторонним расположением электродов. Однако линейность отклика этих датчиков падает по мере удаления пучка от центра. Это связано с расположением анодов по периметру сенсора, особенно нелинейность заметна в углах датчика, где аноды приближаются друг к другу. Компания Thorlabs использует один из вариантов датчиков с четырехсторонним расположением электродов – датчик в форме "подушечки". Модель такого датчика представлена на рисунке сверху. Аноды перемещаются в углы датчика, фигурная форма электродов обеспечивает компенсацию искажений сигнала вблизи периметра. Такая модель обладает линейностью на уровне датчиков с двухсторонним расположением электродов, но значительно меньшей стоимостью.
Принцип вычисления положения луча
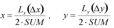
PDP90A детектор от компании Thorlabs оснащен схемой для вычисления Δx, Δy и суммы сигналов по формулам:
Согласно этим формулам расстояние в единицах измерения длины можно вычислить с помощью уравнений:
где x и y – это расстояния от центра до края сенсора, Lx и Ly – характерные размеры резистивного слоя. Для PDP90A детектора Lx = Ly = 10 мм. Следует отметить, что размеры резистивного слоя не соответствуют размерам активной области датчика. Активная область обозначена на рисунке серым цветом.
Погрешность определения положения
В отличие от квадрантных датчиков, где требуется перекрытие всех четырех активных областей, представленные датчики позволяют получить информацию о нахождении пучка в любой точке детектора не зависимо от формы, размера и распределения мощности в пучке. Датчик определяет положение центра пятна света до тех пор, пока пятно находится на светочувствительной области. Если часть светового пятна покидает светочувствительную поверхность, это приведет к сдвигу центра, и измерения станут ненадежными.
К ошибкам в измерении положения пучка также может привести уровень внешней освещенности. Для уменьшения погрешностей измерения лучше проводить в темноте. Использование фокусирующей оптики и диафрагм, также позволит снизить ошибки, связанные с внешней освещенностью.
Разрешение
Разрешение позиционно-чувствительного детектора – это минимальное детектируемое смещение светового пятна на поверхности сенсора датчика. Разрешение (ΔR) зависит как от размеров резистивного слоя (Lx или Ly), так и от отношения сигнал/шум (S/N). Отношение сигнал/шум этой системы можно определить как отношение суммы выходных сигналов (Vo) к напряжению шума (en). Шум на выходе детектора PDP90A составляет <2 мВ (двойная амплитуда сигнала) или 300 мкВ (среднеквадратичное значение).
, где
ΔR – разрешение,
Lx – характерный размер резистивного слоя,
en – шумовое напряжение на выходе детектора,
Vo – сумма выходных напряжений.
Для детектора PDP90A:
Для получения оптимальных результатов значение Vo необходимо увеличить до 4 В, что обеспечит разрешение детектора на уровне 0.750 мкм. Для этого необходимо следить за суммарным выходным сигналом (SUM) сенсора и одновременно регулировать интенсивность падающего излучения, пока напряжение на выходе не станет равно 4 В. Напряжение более 4 В приведет к насыщению системы и, следовательно, к ошибкам в измерениях. С помощью поставляемого программного обеспечения можно легко осуществлять контроль уровня напряжения. Если суммарное напряжение выше уровня насыщения, то ползунок, отображающий уровень суммарного напряжения, станет красным. В этом случае необходимо уменьшить интенсивность излучения до уровня, при котором цвет ползунка станет зеленым. Данное значение будет соответствовать 4 В выходного напряжения.
Позиционно-чувствительный детектор на основе квадрантных фотодиодов
Сенсор такого детектора состоит из четырех идентичных квадрантных фотодиода, которые разделены зазором ~0.1 мм и вместе образуют круглую зону детектирования для определения положения падающего пучка (в формате 2D). При попадании света на сенсор фототок генерируется в каждой области (на рис. Q1, Q2, Q3 и Q4). На основе этих сигналов с помощью АЦП вычисляются разностные сигналы. Также вычисляется сумма всех четырех сигналов для нормировки. Нормированные координаты (Х, У) положения пучка определяются с помощью уравнений:


Если симметричный пучок падает в центр сенсора, то система на выходе зарегистрирует 4 одинаковых фототока, т.е. разностные сигналы будут равны 0, а нормированные координаты (X, Y) = (0, 0). Фототоки изменятся, если пучок сдвинуть относительно центра. В этом случае разностные токи не будут раны 0.
Детекторы на основе квадрантных фотодиодов очень точные и отлично подходят для систем автоюстировки. Однако необходимо следить за формой и распределением интенсивности в пучке, т.к. данный вид детекторов чувствителен к этим параметрам. Для пучков, распределение мощности в которых не является Гауссовым, центр будет определяется на основе распределения мощности (не геометрический центр пучка). Для таких пучков предпочтительнее использовать детекторы, описанные в предыдущем пункте.
Счетчики одиночных фотонов
Лавинные фотодиоды в режиме Гейгера обладают способностью детектировать одиночные фотоны. Чувствительность на уровне одиночных фотонов может быть достигнута за счет увеличения напряжения смещения выше напряжения пробоя (т. А на рис.4). Лавинный фотодиод будет оставаться в метастабильном состоянии, пока не поглотиться фотон, который приведет к генерации лавины (т. B). Эта лавина гасится с помощью активной схемы гашения в фотодиоде (т. C), которая понижает напряжение смещения до значений ниже напряжения пробоя (VBR).
Рис.4: Вольтамперная характеристика лавинного фотодиода в режиме Гейгера
После этого высокое значение напряжения смещения может быть восстановлено. В течении описанного процесса, которое известно как мертвое время диода, лавинный фотодиод нечувствителен к любым падающим фотонам. Когда диод находится в метастабильном состоянии, возможно спонтанное формирование лавин. Если спонтанное формирование лавин происходит хаотично, то зарегистрированный сигнал называется темновым отсчетом. Если спонтанное формирование лавин по времени коррелирует с импульсами от падающих фотонов, то такой сигнал называется послеимпульсом. Чтобы избежать регистрации послеимпульсов при проведении измерений, можно ввести дополнительное мертвое время программными средствами (с помощью ПО), что приведет к игнорированию счетчиком всех импульсов, возникших в течении этого времени.
Основные характеристики и понятия
Режим Гейгера
В этом режиме диод работает при напряжении смещения выше напряжения пробоя. Следовательно, одна электрон-дырочная пара (сгенерированная в результате поглощения фотона или тепловых флуктуаций) может вызвать лавинный процесс.
Скорость темнового счета
Это средний показатель зарегистрированных отсчетов при отсутствии падающего излучения, который определяет минимальную скорость счета, при которой зарегистрированный сигнал в основном вызван реальными фотонами. Регистрация ложных фотонов в основном связана с тепловыми флуктуациями и таким образом, ее можно избежать с помощью использования охлаждаемых детекторов
Активное гашение происходит, когда дискриминатор регистрирует возникновение лавинного тока и резко уменьшает напряжение смещения до значений ниже напряжения пробоя. При подготовке к регистрации следующего фотона напряжение смещения снова увеличивается до значений выше напряжения пробоя.
Мертвое время – это временной интервал, который необходим детектору для восстановления состояния, при котором он может регистрировать события без искажений. В течении этого времени он не видит падающих фотонов. Часть мертвого времени, связанная с активной схемой гашения, может быть определена как отношение пропущенных фотонов к падающим.
Послеимпульсы
Во время лавинного процесса некоторые заряды могут быть захвачены ловушками. При освобождении эти заряды могут привести к формированию лавины. Такие "ложные события" называют послеимпульсами (Afterpulses). Время жизни таких захваченных зарядов составляет порядка нескольких десятых микросекунды. Следовательно, возникновение послеимпульсов более вероятно непосредственно после импульса от реального фотона.
ФЭУ
Принцип работы
С момента появления первых коммерческих ФЭУ в 1940 году, этот вид детекторов остается одним из самых популярных при проведении экспериментов, в которых требуется малое время отклика и высокая чувствительность. Сегодня ФЭУ незаменимы при проведении исследований в области аналитической химии, физики элементарных частиц, астрономии, атомной и молекулярной физики, а также в медицине и контроле производственных процессов.
Фотоэлектронные умножители (ФЭУ) – это чувствительные детекторы с высоким коэффициентом усиления, выходной ток которых пропорционален падающему излучению. ФЭУ состоит из стеклянной вакуумной трубки, в которой расположены фотокатод (фотоэмиссионный материал), 8-14 динодов (вторичная эмиссия) и анод (коллектор вторичных электронов). Если фотон с достаточно высокой энергией (т.е. с энергией больше энергии связи электронов материала фотокатода) падает на фотокатод, то он поглощается и испускается электрон (фотоэффект). Поскольку на первом диноде потенциал выше, чем потенциал на катоде (между этими элементами создается разность потенциалов), то выпущенный электрон ускоряется в электрическом поле и направляется на систему динодов, где за счет вторичной (ударной) электронной эмиссии образуют нарастающую от динода к диноду электронную лавину, поступающую на анод. Как правило, каждый динод обладает потенциалом, который на 100 – 200 В выше, чем потенциал предыдущего динода. Ток анода преобразуют в напряжение, для этого нагрузку с малым сопротивлением включают в цепь между анодом и землей. ФЭУ PMM01 и PMM02 от компании Thorlabs используют трансимпедансный усилитель (TIA) для преобразования тока анода (нА или мкА) в напряжение (мВ или В). Модули PMTSS, PMTSS2, и PMTSS2-SCM не содержат трансимпедансного усилителя.
Например, если ФЭУ состоит из 8 динодов, как показано на рис. ниже и каждый электрон приводит к появлению 4 вторичных электронов, то усиление тока после системы динодов будет составлять 48 ≈ 66,000. В приведенном примере, каждый фотоэлектрон приводит к появлению лавины с зарядом Q = 48e, которая приходит на анод. Импульс напряжения при этом равен V = Q/C = 48e /C, где C – емкость анода. Если емкость равна 5 пФ, то напряжение импульса на выходе будет равно 2.1 мВ.
Спектральная чувствительность
При выборе ФЭУ необходимо обратить внимание на материал фотокатода, т.к. он определяет длинноволновую границу спектральной чувствительности. Коротковолновая граница определяется материалом окна. Сегодня изготавливают различные виды ФЭУ для работы в диапазоне от УФ до ИК, при этом используют различные материалы фотокатода, каждый из который предназначен для работы в определенном спектральном диапазоне.
Квантовая эффективность (QE) – это величина, выражаемая в %, которая характеризует способность ФЭУ преобразовывать падающие фотоны в электроны. Например, QE равно 20%. Это означает, что один из 5 фотонов, падающих на фотокатод, приведет к появлению фотоэлектронов. Для задач счета фотонов, желательно иметь ФЭУ с высоким показателем квантовой эффективности. Поскольку QE зависит от длины волны, необходимо подобрать ФЭУ, с максимальной квантовой эффективностью в интересующем спектральном диапазоне. Следует отметить, что фотокатоды для видимой области спектра, как правило, обладают QE <30%.
Вычислить квантовую эффективность ФЭУ можно по формуле:
где S – это интегральная чувствительность [А/Вт], λ – длина волны [нм].
Конфигурация ФЭУ
Доступны две основные конфигурации ФЭУ: входное окно располагается на торце или на боковой стенке вакуумной колбы. В случае, когда входное окно расположено на торце, ФЭУ оснащен полупрозрачными фотокатодами и характеризуется большой площадью активной области, пространственной однородностью, и более высокой производительностью в синей и зеленой областях спектра. Такая конфигурация предпочтительнее для применений, требующих широкой спектральной чувствительности, таких как спектроскопия. В ФЭУ с боковым окном используют непрозрачные фотокатоды, такая конфигурация чаще всего используется при работе в УФ и ИК диапазоне. Конфигурация с боковым окном дешевле, чем конфигурация с окном на торце, и часто используется для задач, требующих высокой квантовой эффективности, таких как сцинтилляционные измерения.
8-14 динодов располагают линейно или по кругу. При линейном расположении (как показано на рис.) ФЭУ обладает малым временем отклика, высоким разрешением и линейностью. Диноды располагаются по кругу в ФЭУ с боковым окном и в некоторых ФЭУ с торцевым окном, при этом система обладает компактными размерами и малым временем отклика.
Коэффициент усиления
ФЭУ – уникальны, так как способны усиливать очень слабые сигналы от фотокатода до детектируемого уровня выше шума считывания без внесения существенных помех. За усиление сигнала в ФЭУ отвечают диноды, и коэффициент усиления зависит от прилагаемого напряжения. ФЭУ может работать при напряжениях, превышающих значения, рекомендуемые производителем, обеспечивая при этом коэффициент усиления в 10-100 раз выше указанного в спецификации. При работе в таком режиме на ФЭУ не оказывается негативного влияния, если ток анода ниже предельно допустимых значений.
Темновой ток
В случае идеального ФЭУ, все сигналы, производимые фотокатодом, являются следствием попадания в трубку света. Однако, настоящие ФЭУ генерируют ток даже в отсутствии падающего излучения. Сигнал, генерируемый ФЭУ в отсутствии света, называется темновым током. Этот сигнал сильно снижает отношение сигнал/шум ФЭУ. Темновой ток главным образом обусловлен термоэлектронной эмиссией электронов из фотокатода и нескольких первых динодов, и в меньшей степени космическими лучами и радиацией. ФЭУ, разработанные для применений в красной области спектра, обладают более высокими значениями темнового тока, чем другие ФЭУ, за счет малых значений энергии связи электронов в фотокатодах, обладающих чувствительностью в красной области спектра.
Термоэлектронная эмиссия зависит от температуры фотокатода и работы выхода, а значит охлаждение ФЭУ может значительно снизить темновой ток. При использовании ФЭУ с термоэлектрическим охлаждением следует избегать конденсации на входном окне, так как влага уменьшит количество света, падающего на фотокатод. Кроме того, необходимо избегать чрезмерного охлаждения, так как это может привести к негативным последствиям: уменьшение уровня сигнала или напряжения на катоде, т.к. сопротивление катодной пленки обратно пропорционально температуре.
Время Нарастания
Для экспериментов, требующих высокого временного разрешения, время нарастания должно быть коротким. Время нарастания импульса тока анода чаще всего используется в качестве характеристики быстродействия ФЭУ. В конечном счете, время нарастания импульса определяется временем распространения разных электронов. Оно отличается по нескольким причинам. Во-первых, начальные скорости вторичных электронов различаются. т.к. они выбиваются из разных по глубине мест материала динодов. Некоторые электроны вылетая обладают ненулевой начальной энергией, поэтому достигнут следующего динода за более короткое время. Время пролета электронов также будет зависеть от длины пути. В результате всех этих эффектов, время нарастания импульса анодного тока будет уменьшаться с увеличением напряжения как V-1/2.
Другие факторы
При работе с ФЭУ следует тщательно выбирать электронику, которая будет использоваться. Даже небольшие флуктуации высокого напряжения, прилагаемого между катодом и анодом могут сильно повлиять на выходной сигнал. Кроме того, условия окружающей среды также могут влиять на работу ФЭУ. Изменения температуры и влажности, а также вибрации негативно влияют на производительность ФЭУ. Корпус ФЭУ также имеет большое значение, он не только защищает трубку от постороннего света, но и снижает влияние внешних магнитных полей. Поле с магнитной индукцией в несколько гауссов, может уменьшить коэффициент усиления. Этого можно избежать путем использования магнитного экрана из материала с высокой магнитной проницаемостью.

