Precilasers предлагает однопроходный волоконный лазер на разностной частоте (FL-SDFG, ГРЧ), который состоит из полностью оптоволоконного усилителя с задающим волоконным лазером DFB (лазер с распределённой обратной связью) со сверхтонкой шириной спектральной линии и однопроходного блока PPLN DFG для получения мощного лазерного излучения среднего ИК диапазона. Волоконный лазер с ГРЧ (DFG) может охватывать диапазон длин волн от 2400 до 4000 нм и обладает узкой спектральной шириной линии (менее 200 кГц за 100 мкс) и высоким качеством пучка (M² <1.1). Лазер устойчив к скачкообразным изменениям мод, стабилен в широком диапазоне температур и при значительном воздействии окружающей среды, что отлично подходит для синхронизации по частоте
Особенности:- Узкая регулируемая ширина спектральной линии; - Стабильность активной мощности; - Стабильная работа и простота в эксплуатации; - Высокое качество пучка (М2 <1.1); - Высока выходная мощность. |
Применения:- Зондирование; - Лазерная спектроскопия; - Детектирование газа. |

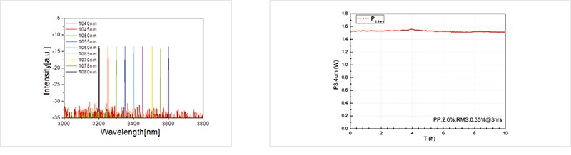
Зависимость интенсивности от длины волны
Технические характеристики:
|
Серия |
FL-SDFG-XX-YY-ZZ1 | ||
|
Центральная длина волны2, мкм |
2.4-4.0 | ||
|
Выходная мощность3, Вт |
0.05-1.5 | ||
|
Задающий лазер |
Волоконный DFB-лазер Precilasers |
Диодный DFB-лазер |
Широко настраиваемый задающий генератор |
|
Преобразование частоты |
Однопроходная генерация разностной частоты | ||
|
Диапазон перестройки, нм |
>10 |
>20 |
>100 |
|
Ширина спектральной линии (100 мкс), МГц |
<0.2 |
<50 |
<20 |
|
Стабильность выходной мощности (RMS, после 3-х часов) |
<0.5% | ||
|
Качество пучка |
TEM00, M2 <1.1 | ||
|
Коэффициент ослабления поляризации, дБ |
>20 | ||
|
Диаметр пучка, мм |
0.7-1.0 | ||
|
Охлаждение |
Воздушное / водяное охлаждение | ||
|
Источник питания |
50-60 Гц, 100-240 В AC | ||
Примечания:
1. XX: Центральная длина волны; YY: Максимальная выходная мощность; ZZ: Режим работы;
2. Возможно индивидуальное изготовление с необходимой центральной длинной волны;
3. Возможно индивидуальное изготовление с необходимой выходной мощностью.


Размеры блоков
Оплата продукции производится по безналичному расчету на основании счета либо договора поставки. Компания АЗИМУТ ФОТОНИКС принимает участие в конкурсных торгах (электронных аукционах) на выполнение заказов от бюджетных организаций. Для бюджетных организаций предусмотрена работа с частичной предоплатой в рамках договоров по ФЗ.
Доставка оборудования и компонентов во все регионы России осуществляется транспортными компаниями (Major Express, Гарантпост, СДЭК) с обязательным соблюдением требований к транспортировке и хранению, также возможен самовывоз из нашего офиса в Москве. Условия отправки груза в страны СНГ и ЕАЭС необходимо уточнять отдельно у специалистов нашей компании.
