Перестраиваемые тонкопленочные фильтры VersaChrome от компании Semrock для спектральной визуализации
1. Введение
	 Регистрация многоцветных изображений флуоресцирующих образцов широко используется в научно-исследовательских и клинических приложениях. Когда флуорофоры, используемые в таких применениях, имеют небольшое спектральное перекрытие, для получения адекватного результата достаточно использовать стандартные фильтры (с фиксированными значениями спектральных характеристик). Однако, когда перекрытие значительное, необходима спектральная визуализация [1-4]. 
Системы для спектральной визуализации обеспечивают гибкость в выборе длины волны, что очень удобно, когда в экспериментах используются разные комбинации флуорофоров, так как нет необходимости в смене фильтров. Однако, несмотря на возможность перестройки, стандартные системы для спектральной визуализации редко обладают преимуществами использования тонкопленочных интерференционных фильтров: высокий коэффициент передачи в сочетании с крутыми краями полосы пропускания и высоким коэффициентом блокировки вне полосы. В данной статье описан инновационный подход к спектральной визуализации с использованием перестраиваемых тонкопленочных фильтров от компании Semrock.
2. Технология
	 В основе новой технологии спектральной визуализации лежит использование перестраиваемых в широком диапазоне тонкопленочных оптических фильтров серии VersaChrome [5] от компании Semrock. В отличие от стандартных тонкопленочных интерференционных фильтров, спектральные характеристики фильтров VersaChrome изменяются как функция угла падения, при этом форма спектра не претерпевает никаких заметных изменений. 
| 
  | 
  | 
Рис. 1: (Слева) Спектр пропускания при нескольких больших углах падения для фильтра TBP01-620/15. (Справа) Сдвиг центральной длины волны при увеличении угла падения для данного фильтра. Полуширина полосы пропускания остается фиксированной - 20 нм, что соответствует гарантированному минимальному значению ширины – 15 нм. Следует отметить, что спектр фильтра непрерывно перестраивается в диапазоне от 0 до 60º (угол падения).
На рис. 1 представлены спектры фильтра серии VersaChrome от Semrock, TBP01-620/15, при различных углах падения излучения. Данный фильтр обладает гарантированной минимальной шириной полосы пропускания порядка 15 нм и полушириной – 20 нм. Как видно на данном рисунке, фильтр не только сохраняет ширину полосы при больших значениях угла падения, но и высокий коэффициент пропускания, крутые края спектра и надежное блокирование излучения в области вне полосы пропускания.
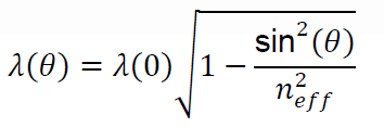
Центральная длина волны данного перестраиваемого фильтра (верно для всех фильтров VersaChrome) определяется следующим уравнением, где neff – эффективный показатель преломления тонкопленочного покрытия:
  
Для данного фильтра neff составляет примерно 1.85. Отметим, что спектр данного фильтра меняется непрерывно. Если диапазон перестройки составляет 12% от длины волны при нормальном угле падения (угол падения изменяется в диапазоне от 0 до 60º), то для покрытия всего видимого диапазона понадобиться всего 4 фильтра.
3. Материалы и методы исследований
Микроскопия
Изображения клеток эндотелия лёгочной артерии быка (BPAE cells) с флуоресцентными метками MitoTracker® red (митохондрия), Alexa Fluor® 568 (F-актин) и SYTOX® Orange (ядро) были получены с помощью микроскопа Olympus BX41, оснащенного камерой ORCA C8484 от Hamamatsu. (Образец предоставлен Mike Davidson, Molecular Expressions™) В конструкцию микроскопа на пути излучения флуоресценции был встроен модуль с перестраиваемым фильтром. Управление модулем осуществлялось с помощью компьютера. Принцип работы представленного микроскопа изображен на рис. 2.
Для одновременного возбуждения всех флуорофоров в образце в куб микроскопа для фильтров устанавливается фильтр возбуждения (FF01-543/22-25) и дихроичный фильтр (FF562-Di02-25x36). Перестраиваемый запирающий фильтр, TBP01-620/15-25x36, был помещен в модуль, и последовательность изображений (lambda stack) регистрировалась при изменении угла наклона фильтра (угла падения излучения флуоресценции) с шагом 1º.
|   
 |   
 | 
Рис.2 (Слева) Принцип работы микроскопа. (Справа) На пути излучения флуоресценции в микроскопе Olympus BX41 был помещен модуль с перестраиваемым фильтром и шаговым двигателем. Угол падения излучения на перестраиваемый фильтр (TBP01-620/15-25x36) меняется с шагом 1º при регистрации изображений образца на разных длинах волн. Расположение перестраиваемого фильтра на рисунке отмечено прямоугольником с пунктирными границами.
Линейное спектральное разделение (Linear unmixing)
Для спектрального разделения данных (linear unmixing, [1-4]), значения интенсивностей, зарегистрированные пикселем в процессе регистрации последовательности изображений, организуют в матрицы. Для решения системы линейных уравнений методом наименьших квадратов min||Ax-b||2 при условии не отрицательности x, где x – матрица разделенных спектральных вкладов каждого флуорофора в заданном пикселе использовался пакет MATLAB. Матрица A содержит опорные спектры флуорофоров, соответствующие каждому из используемых (рис. 4), матрица b состоит из значений интенсивности в заданном пикселе в серии изображений.
4. Результаты
В приведенных исследованиях, спектральная визуализация с использованием перестраиваемых фильтров была продемонстрирована на примере. Была зарегистрирована серия изображений образца, помеченного флуорофорами MitoTracker® red, Alexa Fluor® 568 и SYTOX® Orange, с использованием перестраиваемого фильтра Semrock серии VersaChrome® (см. пункт Материалы и методы). На рис. 3 представлены изображения, зарегистрированные со спектральным шагом 5 нм.
  
Рис.3 Серия изображений, полученных при использовании перестраиваемого запирающего фильтра. Изображения получены со спектральным шагом 5 нм (см. рис. 1 с соответствующими спектрами фильтра). Компоненты клетки, помеченные флуорофорами с отличающимися спектрами излучения, можно легко различить даже при необработанных данных, тогда как, флуорофоры с похожими спектрами разделяют с помощью алгоритма разделения каналов эмиссии. Каждый кадр – изображение объекта размером 47 мкм x 38 мкм.
Из данных изображений видно, что ядро, окрашенное SYTOX® Orange можно легко выделить среди других компонентов клетки, с использованием только одного перестраиваемого запирающего фильтра, который предназначен для визуализации всех флуорофоров. Однако, так как F-актин и митохондрии помечены флуорофорами с сильно перекрывающимися спектрами (Alexa Fluor® 568 и MitoTracker® red, соответственно), разделение каналов эмиссии было необходимо для визуализации соответствующих компонентов.
  
Рис.4 На рисунке представлены нормированные опорные спектры для каждого используемого в образце флуорофора в заданной области. Отметим, что измеренный спектр флуорофора может отличаться от идеального. Это может быть обусловлено изменениями условий окружающей среды или ограничениями эксперимента. Фоновый сигнал также изображён как функция длины волны.
Выбранные из последовательности изображения участков, отображающих чистый спектральный вклад каждого флуорофора, представлены на рис.3. Нормированные значения интенсивности (после регулировки фона), соответствующие каждому флуорофору изображены на рис. 4. Данные графики представляют собой эталонные спектры флуорофороф, используемые в алгоритме спектрального разделения. Затем изображения из зарегистрированной последовательности использовались вместе в алгоритме разделения спектральных данных (см. пункт Материалы и методы) для спектрального разделения изображений всех флуорофоров (рис.5).
  
Рис.5 Спектрально разделенные данные. Однотонные изображения соответствуют компонентам клетки, помеченным одним из флуорофоров: ядро (верхнее слева), F-актин (верхнее справа) и митохондрии (нижнее слева). Нижнее правое изображение составное. Каждый кадр – изображение объекта размером 47 мкм x 38 мкм.
5. Заключение
Фильтры серии VersaChrome® могут быть размещены на пути излучения возбуждения и флуоресцентного излучения, и по мере изменения угла падения пучка излучения на фильтр, можно регистрировать различные спектральные линии. Кроме того, следует отметить, что спектральные характеристики данных перестраиваемых фильтров практически одинаковы для s и p поляризации света. Данную особенность довольно сложно получить при использовании жидкокристаллических и акустооптических перестраиваемых фильтров [2-5]. Нечувствительность к поляризации крайне желательна для спектральных систем визуализации, и кроме того ограничения на поляризацию излучения для фильтров с токовым управлением могут привести к потере половины сигнала во многих сканирующих спектральных приборах. Фильтры VersaChrome® не приводят к таким потерям. Таким образом, эти фильтры могут не только увеличить пропускную способность приборов спектральной визуализации, но и упростить конструкцию прибора [5].

 
		